首页>书画·现场>讯息讯息
人工智能画作拍出300万元 作品签名是数学方程式

中新网客户端北京10月26日电(记者 宋宇晟)一直以来,人工智能被认为难以替代人类完成某些有创造性的工作。但这样的认识恐怕要因最近的一次拍卖而有所改变了。
随着写诗、唱歌相继被人工智能“攻克”后,人工智能“创作”的画作已登上拍卖市场,并拍出了超过300万元的价格。
记者获悉,当地时间25日,佳士得拍卖行在纽约以43.25万美元(约300万元)的价格售出了一幅由人工智能绘制的画作。

拍卖行官网信息显示,成交价几乎是此前最高估价的45倍。
这幅画作是一幅肖像作品,以朦胧的笔触描绘了一位名叫埃德蒙·贝拉米(Edmond Belamy)的男士。画中人物身形丰满,面部特征较为模糊。
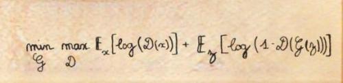
值得一提的是,画作右下角的作者签名是一个数学方程式。

拍卖行官网发布的文章认为,本次成交“标志着人工智能艺术进入了世界拍卖舞台”。
需要说明的是,人工智能创作的背后依然可以看到人类的身影——一个来自法国的艺术团体Obvious。该团队致力于探索艺术和人工智能之间的相互作用。
拍卖行官网引述了该团队对人工智能作画过程的介绍——他们将14世纪到20世纪期间的15000幅肖像画的数据输入系统,然后生成器根据该集合生成一个新图像,再用鉴别器尝试识别人类作品和生成器生成图像间的差异。
“我们发现肖像提供了最好的方式来说明我们的观点,那就是算法能够模仿创意。”团队的一名成员表示。
同时,也有报道称,另有参与编写程序的成员认为,就像照片在19世纪横空出世一样,AI绘画也将成为新的艺术模式,但其目的并非取代人类画家。(完)
编辑:杨岚
关键词:人工智能画作 人工智能画作拍出300万元


中国制造助力孟加拉国首条河底隧道项目
澳大利亚猪肉产业协会官员看好进博会机遇
联合国官员说叙利亚约1170万人需要人道主义援助
伊朗外长扎里夫宣布辞职
中国南极中山站迎来建站30周年
联合国特使赴也门斡旋荷台达撤军事宜
以色列前能源部长因从事间谍活动被判11年监禁
故宫博物院建院94年来首开夜场举办“灯会”
法蒂玛·马合木提
王召明
王霞
辜胜阻
聂震宁
钱学明
孟青录
郭晋云
许进
李健
覺醒法師
吕凤鼎
贺铿
金曼
黄维义
关牧村
陈华
陈景秋
秦百兰
张自立
郭松海
李兰
房兴耀
池慧
柳斌杰
曹义孙
毛新宇
詹国枢
朱永新
张晓梅
焦加良
张连起
龙墨
王名
何水法
李延生
巩汉林
李胜素
施杰
王亚非
艾克拜尔·米吉提
姚爱兴
贾宝兰
谢卫
汤素兰
黄信阳
张其成
潘鲁生
冯丹藜
艾克拜尔·米吉提
袁熙坤
毛新宇
学诚法师
宗立成
梁凤仪
施 杰
张晓梅


