首页>两岸>台海人物
书赠清华 魂归祖国
台湾大学教授王晓波藏书捐赠清华大学图书馆纪实
何玉
起于十余年前的清华情缘
今年11月17日是台湾同胞爱国统一阵营的杰出领袖、社会活动家王晓波先生诞辰80周年。作为保钓先锋与岛内“统派”代表人物,王晓波先生一直都是笔者密切关注并感佩的对象。笔者所工作的清华大学图书馆保钓资料收藏研究中心,自2007 年以来,一直致力于收集“保钓运动”过程中的历史文献,王晓波先生的资料与相关文献,也从不同渠道汇聚于馆里。
目前清华大学图书馆藏有王晓波先生的著作38种,不仅包括他对促统反“台独”的有关历史和法理方面的研究论述,比如2001年王晓波、陈映真等人合编的《春雷声声:保钓运动三十周年文献选辑》,是了解保钓运动的基础文献与入门读物,还包括他对中国先秦思想特别是法家思想的有关研究论著,如《先秦法家思想史论》《道与法:法家思想和黄老哲学解析》《儒法思想论集》等。中国法家研究会副会长宋洪兵曾对王晓波有如下评价:“王晓波撰写的5本法家著作,堪称研究法家必读的参考书。”2018年中国法家研究会成立,王晓波是首任会长。
王晓波先生与清华大学图书馆的情缘,起于2009年。那一年清华大学图书馆原馆长薛芳渝赴台参加由台湾新竹清华大学主办的“1970年代的保卫钓鱼台运动文献编印与解读”研讨会。会上,王晓波先生将他脍炙人口的著作《尚未完成的历史:保钓运动二十五年》赠送给清华大学图书馆,由此展开了他与清华大学图书馆的赠书情缘。
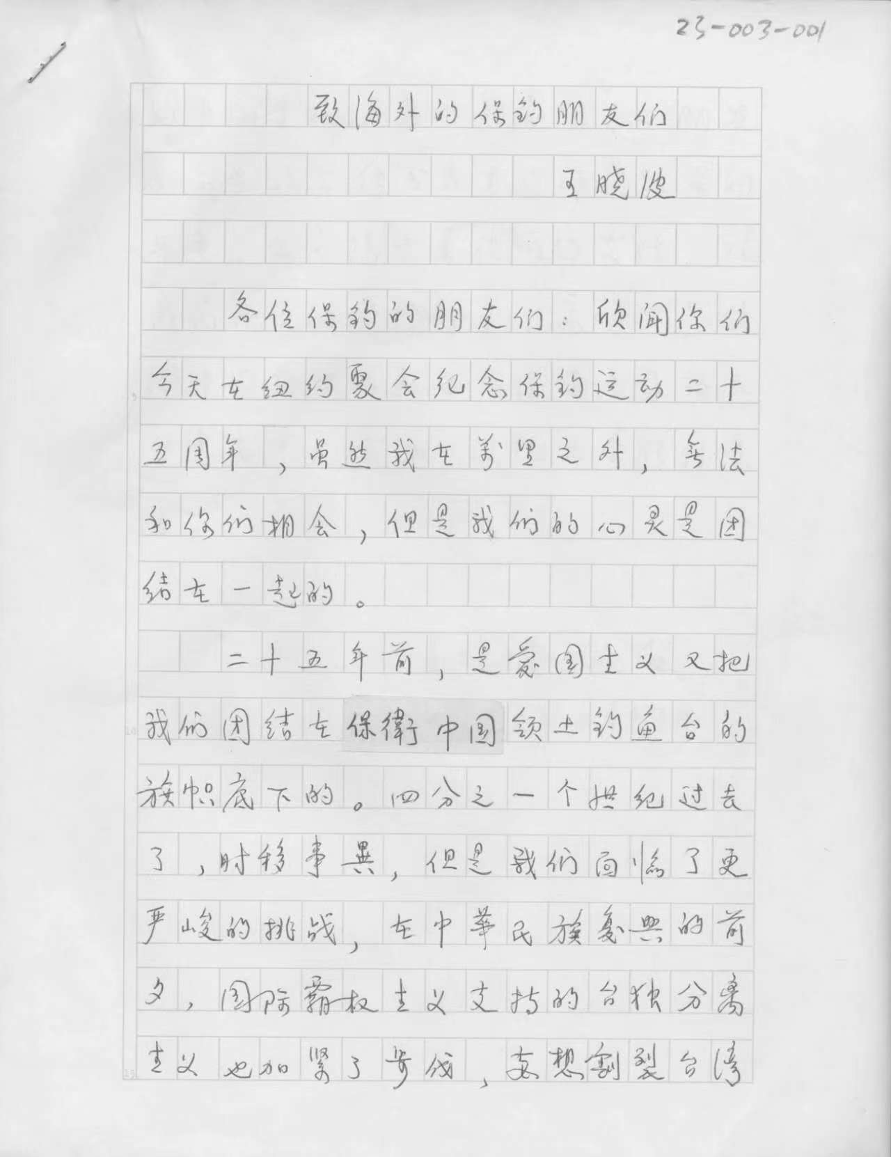
清华大学图书馆还存有王晓波先生的一些珍贵手书信函,比如1995年一些曾经参加过1970年代“保钓运动”的台湾朋友在美国纽约主办“纪念保钓运动25周年活动”,王晓波先生特地向活动发来一封贺信《致海外的保钓朋友们》,呼吁海外与台湾岛内的爱国力量能够再次团结起来,为保卫中国领土而斗争。这封信后来由龚忠武先生于2008年捐赠给清华大学图书馆。这封贺词虽然篇幅不长,但通篇充满力量。信中他写道,“25年前,是爱国主义又把我们团结在保卫中国领土钓鱼台的旗帜底下的。四分之一个世纪过去了,时移世易,但是我们面临了更严峻的挑战,在中华民族复兴的前夕,国际霸权主义支持的‘台独’分离主义也加紧了步伐,妄想割裂台湾的中国主权,岛内的爱国主义朋友们正在与‘台独’分离主义作最艰苦的斗争,正在渴望着你们的支持。让我们再次的团结起来,高呼:保卫中国领土钓鱼台!保卫中国领土台湾省!’”
1995年在美国纽约主办“纪念保钓运动25周年活动”,王晓波先生特地向活动发来一封贺信《致海外的保钓朋友们》。
赓续家庭的红色精神血脉
一个家庭的精神基因会无声流淌在这个家族成员的血脉中。
1942年11月17日,王晓波先生出生于江西省铅山县,7岁时跟随父亲王建文来到台湾,母亲章丽曼供职于新华社,在王晓波父子到台湾后章曼丽继续留在上海工作。之后章丽曼加入中国共产党,成为台湾工作委员会成员。1950年她经香港来到台湾,暗中进行地下工作。1953年因蔡孝乾叛变,中共地下情报人员名册被破获。王晓波父母遭“宪兵”逮捕,时年仅29岁的母亲章丽曼在台北马场町英勇就义,父亲王建文以“知匪不报”罪名,被判入狱七年。彼时年仅11岁的王晓波在台举目无亲,只能跟随一起赴台的外婆生活。回忆这段灰色的童年,他曾表示,“我们家庭的悲剧,其实也是近代中国历史的一部分。”因为父母的身份问题,少年王晓波也被扣上“匪谍之子”“叛乱犯遗属”的帽子,一直受到台湾当局的监控和歧视,在学校他也一度被看成是“不良少年”。但一路被压制,也没有压倒王晓波的志气,高二时期王晓波通过刻苦学习,考上了台湾大学。
出于一种文化自觉,王晓波选择台湾大学哲学系作为专业方向,成为殷海光先生的门下弟子。在大学毕业纪念册上,他写下“我愿终身做真理的仆人,永远为中国苦难的良心”的毕业留言。这句话就如同他的人生座右铭,很贴近地概括了他77年的人生。
在台大获得硕士学位后,王晓波先是在台大任教,但1973年因“台大哲学系事件”(1972年底台湾大学举行“民族主义座谈会”,这是战后台湾校园首次关于统“独”的论战,后来由于国民党当局“警总”势力的介入,以逮捕台大师生而结束,台湾大学哲学系内具有自由派色彩的学者陈鼓应、王晓波等相继遭到国民党当局解聘与迫害。——编者注),台湾当局以“为匪宣传”为罪名拘留了王晓波,使他不得不于1974年离开了台大。直到1997年“台大哲学系事件”平反后,王晓波才得以复职,重返台大的课堂教书。
尽管一直处在被台湾当局钳制思想自由的处境,王晓波追求祖国统一的志士之心并没有泯灭。1970年10月,当时还在台大读研究生的王晓波就在《中华杂志》发表《保卫钓鱼台》一文,对海外和台湾岛内的“保钓运动”起到了催化剂作用,他也是台湾地区最早一批的“保钓”人士。从大学起,王晓波还积极参加社会运动,参与《大学杂志》《夏潮》《中华杂志》等期刊的采编工作,1991年他创办《海峡评论》,并长期担任总编辑。1988年,王晓波与胡秋原、陈明忠、陈映真等人筹组成立中国统一联盟,后转型为统一联盟党。他曾连续12年担任中国统一联盟第一副主席(2001至2013年),是岛内“左统派”代表人物。
他长期反对“台独”,反对岛内所谓“去中国化”历史教育,积极呼吁两岸和平统一,被称为台湾统派的一面旗帜。他曾公开说,教书只是他的事业,但推动中国统一却是他“一生的志业”。
马英九曾公开表示,“王晓波对台湾有非常大的贡献。台湾的‘保钓运动’可以说是从王晓波开始的,他是大家的精神领袖。”1970年代的海外“保钓运动”被周恩来誉为“海外的五四运动”,深深影响了台湾的一代知识青年,也影响了王晓波的一生,让他“走出了国民党和美国合作编织的西化神话,成为坚强不屈的民族主义与爱国主义的思想斗士”(摘自王晓波先生写在《尚未完成的历史:保钓二十五年》一书编后语中的一句话)。
2019年9月,在华东师范大学传播学院和清华大学图书馆保钓资料收藏研究中心联合主办的“纪念‘保钓统一’运动五十周年研讨会”上,因抱恙在身王晓波不能亲身到会,但他特意写好发言稿托人在会上宣读,发言稿中他特别提到“很高兴看到今日祖国的海军已在钓鱼台海域有了常态化的巡航”,“我们的老保钓虽是失败的一代,但今天祖国的保钓却没有失败”。
“一生志业”遗存赠祖国
2020年7月30日,王晓波先生病逝于台北。2021年1月22日,笔者收到台盟中央原副主席、清华大学物理系教授吴国祯先生转来的讯息,是台湾青年作家张钧凯发给他的,大意是王晓波先生的家属在整理他的藏书,初步估计有200箱左右,其中有大量和台湾文史与两岸关系相关的珍贵书籍,希望在大陆能找到一个能够整批收藏的典藏单位,不知道清华大学图书馆保钓中心是否有收藏的意愿,同时附上了第一箱书的书单。
收到这条讯息之后,笔者迅即向清华大学图书馆党委书记、保钓中心主任蒋耘中汇报,当天晚上即收到同意支持收藏的回复。笔者于是第一时间与在岛内的张钧凯联系上,由他把清华大学图书馆愿意接收赠书的意愿转达给宋元师母(王晓波先生的夫人)。据张钧凯介绍,具体整理王晓波先生藏书的事宜由方守仁先生亲自处理。方先生不仅是王晓波先生相当信任的“左右手”,而且做过两岸图书进出口业务,他是台湾第一个正式引进大陆图书入岛的人,也是唯一在大陆拥有独资出口图书资格的台商,对于引进台湾书籍流程经验丰富,同时王晓波先生的大女儿王逸君硕士毕业于清华大学,一个家庭两代人与清华的渊源,可谓让赠书一事亲上加亲。
笔者后来又联系到方守仁先生。他告诉笔者,王晓波先生的全部藏书约有500箱,其中300箱已于十年以前分赠给台湾大学和台湾世新大学图书馆,最后剩下的这200箱书属于“不离不弃”级别的珍藏。据他估计,从当年1月开始整理,到完成装箱与制作清单,工作至少需要2-3个月。但他对两岸图书进出口公司的流程以及相关业务人员都很熟悉,与厦门外文图书出版集团公司有近20年的合作关系,厦门外图集团董事长申显扬先生也亲自致电给他,他们表示将全力协助处理王晓波先生这些图书的进口和审查事宜。
2021年2月中旬,笔者从方守仁先生处了解到,他已将全部赠书移出了王晓波教授的家中,并组织人力进行分类、装箱、制作装箱清单工作,粗估有160箱左右,近7000本书。在整理这些图书的过程中,方守仁先生特别提出,王晓波先生的藏书最好能够完整放在一起,成立一个完整的王晓波教授特藏室,因为这是王晓波先生的完整精神面相。
由于台湾新冠肺炎疫情的缘故,预定的制作书单周期受到了一些影响。当时工人一周只能工作2天,2021年5月28日,笔者收到方守仁先生发来了第1~30箱图书的书单。于是笔者马上转给清华图书馆资源建设部主任于宁。书单审读的工作也由方守仁先生联系厦门外图集团来完成。当年9月7日,方守仁先生发来新一批书单,书单按照繁体、简体和外文予以区分,排版规范简洁,令人对他肃然起敬。9月27日,在前一拨书单的基础上,方守仁先生又对书单予以分类汇总,赠书总册数为6070册,除中文图书外,还有少量的英文、日文、韩文书籍。9月28日,赠书从加工场所由货车运至台湾码头,方守仁先生发来了现场的工作照,以及他与宋元师母、王晓波教授女儿的发言。宋元师母表示:“看着一箱箱浸含王晓波手泽的爱书整齐待发,守仁用心用情,亲力亲为,我不禁泪如雨下!晓波天上地下有知,当含笑感念!”
10月4日,清华图书馆与厦门外图集团双方代表就王晓波先生图书捐赠一事的具体事宜进行进一步商议,并与王晓波先生家属签订了接受捐赠的捐赠书。
历经十个月,在海峡两岸捐赠方、厦门外图集团、清华大学图书馆同仁的共同努力下,王晓波先生这批珍贵的藏书终于在清华大学图书馆得以顺利安家。清华大学图书馆承诺,将在特藏收藏区域内,为这批资料开辟“台大王晓波教授藏书”专区,并在所赠书刊扉页上加盖“王晓波赠书”印章,供师生、读者使用。2021年11月24日,台湾大学王晓波教授藏书129箱6070册正式入藏清华大学图书馆,目前编目工作基本完成。
先生的书房
在整理王晓波先生赠书清单的过程中,笔者有幸对王晓波先生的“书房”先睹为快。王晓波自幼生活在台湾最底层,但是身为知识分子,他一直有一种使命感,对台湾人民、台湾历史有着不可推卸的道义与责任,这种关切与责任感,也深刻地体现于他的藏书之中。
“台大哲学系事件”之后,王晓波开始思考:台湾是什么,要如何认同台湾?要认同台湾必须要认识台湾,于是他开始研究台湾史,尤其是台湾近代史。在他的藏书中,书名里含有“台湾”二字的图书就有900余册,占全部赠书的17.3%,“台湾史”的特色尤其明显。随着研究的深入,王晓波发现,越认识台湾历史就越认同台湾;越研究台湾历史,越发现台湾原来有这样一部英勇的、不屈服的、可歌可泣的台湾近代史。从参与“保钓运动”以后,王晓波由散漫的自由主义思想者逐渐转变为坚定的民族主义思想者,不断思考与探索中国统一的道路与模式。王晓波与“统一”直接相关的藏书有20册,不仅有古今中外有关国家统一相关的文献,也有他对于中国统一的思维与模式的关注,认真思考两岸关系的前途及中国统一的实现路径,包括他自己的著作《两岸关系论集》《自啼集:中国前途与两岸统一的思考》等。王晓波教授关于两岸关系的论述,是两岸和平统一的重要理论。
透过阅读王晓波先生的赠书,我们看到了一颗坚贞不屈的赤子之心,看到了他毕生致力于中国统一事业的努力。王晓波先生的赠书具有丰富的学术价值与精神内涵,是研究台湾历史与中国统一的重要文献,值得后人细细品读。
2013年6月21日,笔者在台湾会馆有幸聆听了王晓波先生的专题报告《台湾人的国家认同》,那是笔者第一次见到王晓波先生真人。他花白的头发、睿智的眼神、逻辑缜密而感情充沛的演讲,至今都令笔者印象深刻。会后,笔者请他在赠送的《尚未完成的历史:保钓运动二十五年》一书上签名,先生千古,书赠清华,或许也是冥冥之中自有天意吧!
(作者系清华大学图书馆副研究员)
王晓波先生照片由方守仁先生提供,感谢于宁女士对本文提供的帮助
《 人民政协报 》 ( 2022年12月03日 第 08 版)
编辑:张佳琪





